池田薬局年末年始の「安心セット」のご紹介
池田薬局では秋田県の通達に対応するため、皆さんのお困りごとに対応する準備をしております!
ぜひお近くの池田薬局をご利用くださいませ。

池田薬局の「安心セット」のご紹介
| ①Aセット 抗原検査キット(唾液)/小児用解熱剤/経口補水液3本 | 通常4,418円(税込)のところ ⇒ 4,022円(税込) |
| ②Bセット 抗原検査キット(鼻腔)/小児用解熱剤/経口補水液3本 | 通常3,813円(税込)のところ ⇒ 3,538円(税込) |
| ③Cセット 抗原検査キット(鼻腔)/解熱剤/経口補水液3本 | 通常3,872円(税込)のところ ⇒ 3,597円(税込) |
※①~③のセット販売の場合には2個目以降の抗原キットのご購入が10%オフ。
※セット内容の商品の変更により、セット価格が変動する場合もございます。
単品販売
単品抗原検査キット販売(唾液・鼻腔)1,320円~1,980円(税込)
※池田薬局公式LINEのお友達登録をすると初回のみ20%オフで購入が可能
(種類により価格幅があるため、店頭にて詳細をお問い合わせくださいませ。)
コロナ・インフル同時抗原検査キット(鼻腔)年末年始の特別価格 通常2,980円(税込)のところ ⇒ 2,180(税込)
※同時検査キットは池田薬局の公式LINE初回20%オフの適用外となります。
【令和4年12月22日~令和5年1月13日までの期間限定】
LINEのご登録はこちらから
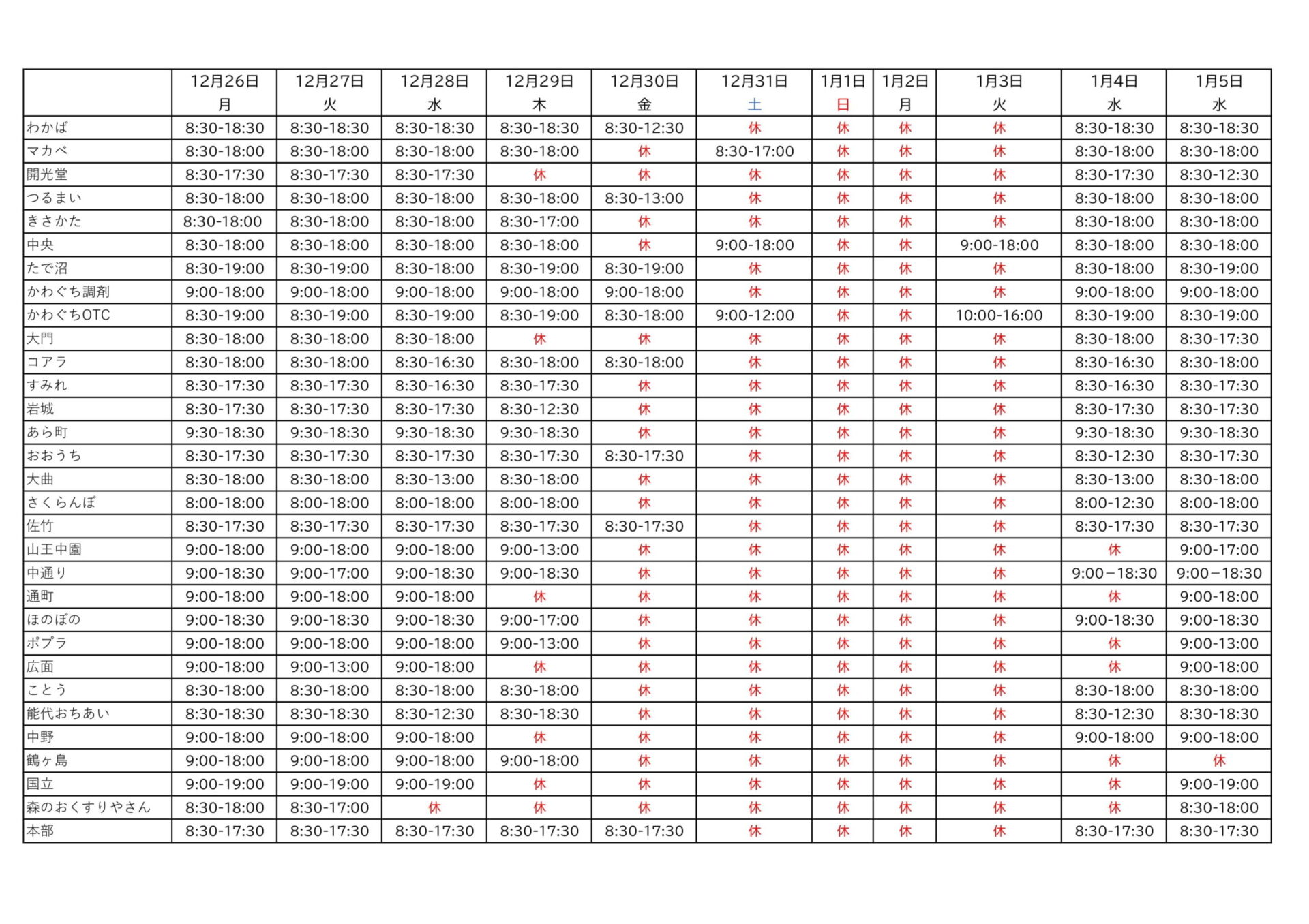
年末年始の営業店舗スケジュール

店舗エリアご案内
秋田県由利地域(由利本荘市・にかほ市)
- わかば店 https://goo.gl/maps/DGYnbUWQm5GnsvQQA
- マカベ調剤店 https://goo.gl/maps/ExDfWTbBktqTjafg8
- 開光堂店 https://goo.gl/maps/SGSYpv4oUt9rPyVx9
- つるまい店 https://goo.gl/maps/7pEXpdvyZCZSzVpf7
- きさかた店 https://goo.gl/maps/GqtYiV3CxELd49RQA
- 中央店 https://goo.gl/maps/7s4A2ozohEZ5634H8
- たで沼店 https://goo.gl/maps/uLa8KtvsTAgjKj1M8
- かわぐちOTC https://maps.app.goo.gl/juivgc5pXvWCJX6LA
- かわぐち調剤店 https://goo.gl/maps/nJe3w3WSFQqpnWYB6
- 大門 https://goo.gl/maps/tm1XcfdWyReQkoKs8
- コアラ調剤店 https://goo.gl/maps/YEf7JyXm5F8zxS3i6
- すみれ調剤店 https://goo.gl/maps/mek4Bi8srjwU5SnF6
- 岩城店 https://goo.gl/maps/QkMZJNR172DjibnA8
- あら町店 https://maps.app.goo.gl/f3Yvwj9dcU2zXyuTA
- おおうち店 https://goo.gl/maps/LGGat7XsRBoBijBg7
県南地域
- 大曲店 https://goo.gl/maps/74UAn5DQCEdMx5Wo7
- さくらんぼ通り店 https://goo.gl/maps/eXgaxktV4wwfB8gVA
- 佐竹通り店 https://goo.gl/maps/2oYfKowxhZXnQP6AA
秋田地域
- 山王中園店 https://goo.gl/maps/fdQw7CLDsatEvMxU7
- 中通店 https://goo.gl/maps/yeumVrph5ayihXmb6
- 通町店 https://goo.gl/maps/xXpi7Nztv1RuSn9o9
- ほのぼの店 https://goo.gl/maps/LKmv7vXkomoNy2q16
- ポプラ店 https://goo.gl/maps/kLBV8weAK7axZ5HM9
- 広面店 https://goo.gl/maps/3BC8aNdfWugrEAgg9
県北地域
関東地域
- FRESH GREEN 中野店 https://goo.gl/maps/DZLGKZzefnbeNkv66
- 鶴ヶ島店 https://goo.gl/maps/3JX1NjaRq1rbZqBaA
- 国立店 https://maps.app.goo.gl/rgHbWwqjhJfnnTiH7
- 薬局 森のおくすりやさん https://goo.gl/maps/7xRij6bhKAw7fFQ36